
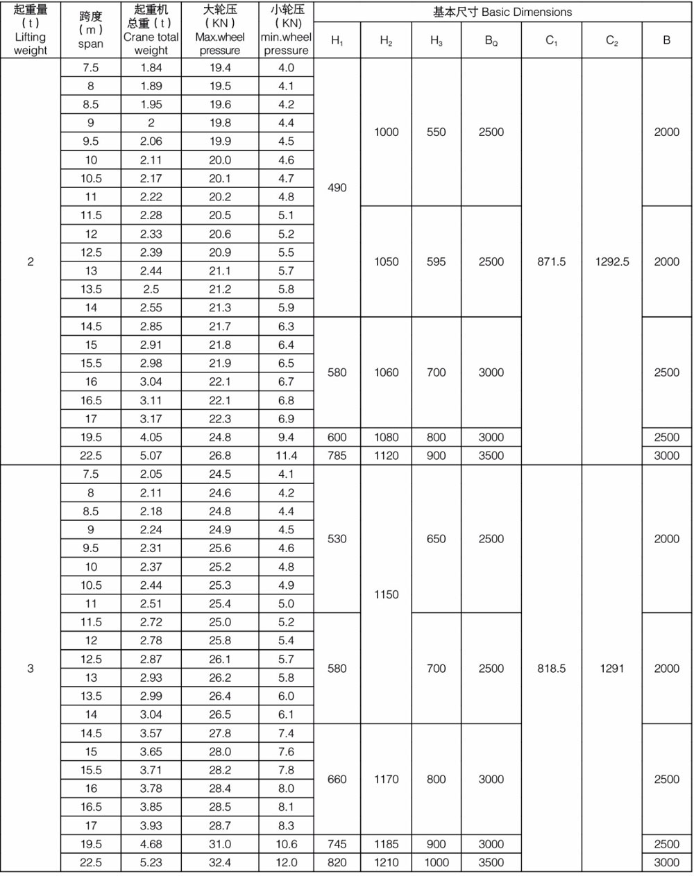
LD型电动单梁桥式起重机是一种CD1或MD1型电动葫芦配套,使用的有轨运行的轻小型起重机(起重量为0.5t-50t,跨度为2.5-31.5m),工作环境温度为-20-60℃范围内。该型起重机具有体积小、结构紧凑、重量轻、外形美观、操作、维修都很方便的特点,是车间、仓库进行物料搬运的理想设备。设有底面、操纵室、遥控三种操纵形式,操纵室又设有端面及侧面开门两种形式,以供用户选择使用。


| 上一条:单梁起重机 | 下一条:LD型电动单梁桥式起重机 |


LD型电动单梁桥式起重机是一种CD1或MD1型电动葫芦配套,使用的有轨运行的轻小型起重机(起重量为0.5t-50t,跨度为2.5-31.5m),工作环境温度为-20-60℃范围内。该型起重机具有体积小、结构紧凑、重量轻、外形美观、操作、维修都很方便的特点,是车间、仓库进行物料搬运的理想设备。设有底面、操纵室、遥控三种操纵形式,操纵室又设有端面及侧面开门两种形式,以供用户选择使用。


| 上一条:单梁起重机 | 下一条:LD型电动单梁桥式起重机 |
山东金通起重设备有限公司